Depuis l'introduction de la mesure de visibilité stroboscopique, la situation a changé et cette méthode est largement acceptée. Pour le papillotement, une autre méthode est utilisée, appelée 'indicateur de modulation/papillotement de la lumière de courte durée de l’IEC', ou 'PstLM'.
Papillotement & Effets stroboscopiques
Les LED ont l'avantage d'être économes en énergie par rapport aux éclairages conventionnels tels que les lampes à incandescence, fluorescentes ou halogènes. En ce qui concerne ces derniers, nous connaissons assez bien leurs propriétés et leurs effets sur l'homme.

Il en va différemment avec l'éclairage LED, car cette source lumineuse réagit beaucoup plus rapidement aux variations de courant continu et donc à l'émission de lumière. On parle alors de vitesses de quelques nanosecondes. Cette luminance changeante ou cette distribution spectrale qui fluctue dans le temps peut avoir des effets désagréables et négatifs sur l'observateur. Si ces effets sont indésirables, on parle d' 'artefacts de lumière temporelle' ou 'TLA' ( Temporal Light Artefacts).
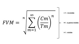
Au fil du temps, plusieurs méthodes ont été utilisées pour décrire et quantifier les effets stroboscopiques. Toutes les méthodes n'étaient pas aussi utiles les unes par rapport aux autres ou ne décrivaient pas clairement l'effet sur la visibilité ou l'impact sur l'homme. Depuis l'introduction de la 'mesure de visibilité stroboscopique' ou 'SVM', la situation a changé et cette méthode est largement acceptée. Pour le papillotement, une autre méthode est utilisée, appelée 'indicateur de modulation/papillotement de la lumière de courte durée de l’IEC', ou 'PstLM'.
Les 3 types de TLA
Papillotement : 0,3 - 80Hz
Perception d'une instabilité visuelle provoquée par un stimulus lumineux dont la luminance ou la distribution spectrale fluctue dans le temps, pour un observateur statique dans un environnement statique.
Effet stroboscopique : >80Hz - 2000Hz
Modification de la perception du mouvement causée par un stimulus lumineux dont la luminance ou la distribution spectrale fluctue dans le temps, pour un observateur statique dans un environnement non statique.
Effet fantôme (ghosting)
Changement dans la perception de la forme ou de la position spatiale des objets, causé par un stimulus lumineux dont la luminance ou la distribution spectrale fluctue dans le temps, pour un observateur non statique dans un environnement statique.
Les axes d'action expliqués
Les trois vidéos ci-dessous expliquent comment les trois différents axes d'action ont été créés. Cliquez sur le sujet qui vous intéresse et regardez l'explication dans les vidéos.
Partie 1 : les 3 types de TLA expliqués
|
|
Partie 2 : approche théorique
|
![]() |
Partie 3 : approche expérimentale
|
|


